2021年高考考前信息港補充部分2(6.1)
2021年高考考前信息港補充部分2(6.1),科目分別為語文(第1頁)、數學(第2頁)、英語(第3頁)、政治(第4頁)、歷史(第5頁)、地理(第6頁)、物理(第7頁)、化學(第8頁)、生物(第9頁)
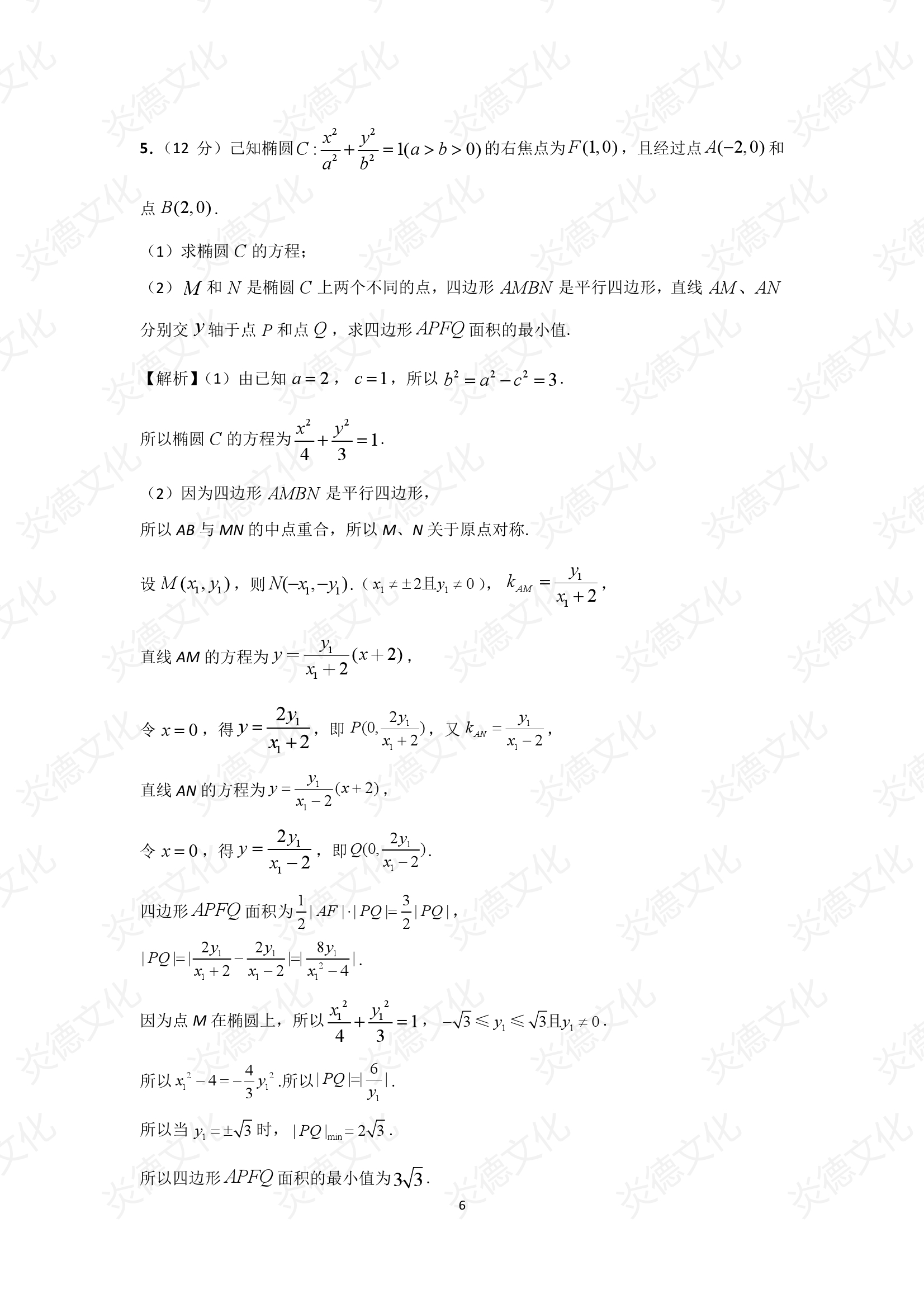
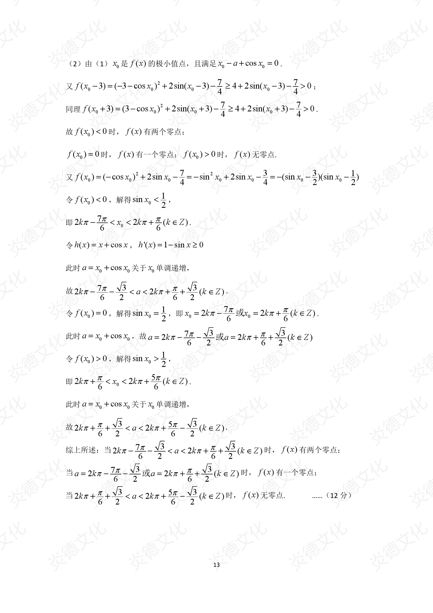
2021高考考前信息港補充部分-數學 點此下載
















2021年高考考前信息港補充部分2(6.1),科目分別為語文(第1頁)、數學(第2頁)、英語(第3頁)、政治(第4頁)、歷史(第5頁)、地理(第6頁)、物理(第7頁)、化學(第8頁)、生物(第9頁)
最后更新時間:2021-06-02 17:09:45